Compound Rectangle Area
This question hit the news in August 2023 after the latest round of GCSE examinations with a headline stating that "100% of parents got this question wrong". Essentially it is the sum of the areas of two rectangles but the complication is that it is algebraic and not arithmetic:
Here is the question:

The first step is to split the shape into two simpler shapes. As a complete shape it is in fact a hexagon (yes...it is!) but splitting it into two rectangles makes the computations simpler.
Draw a line (either litearlly, of mentally) from the "x + 11" side to the junction of "4" where it meets the larger rectangle.
Label the new rectangles B and C.

Calculate the area of Rectangle B - this is quite straightforward:

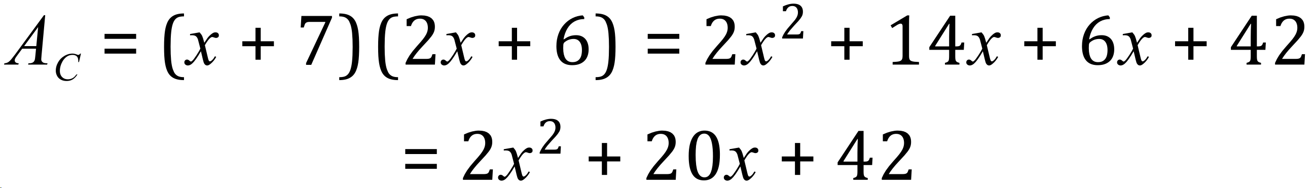
Now calculate the area of Rectangle C - again straightforward but slightly more demanding with the algebra:

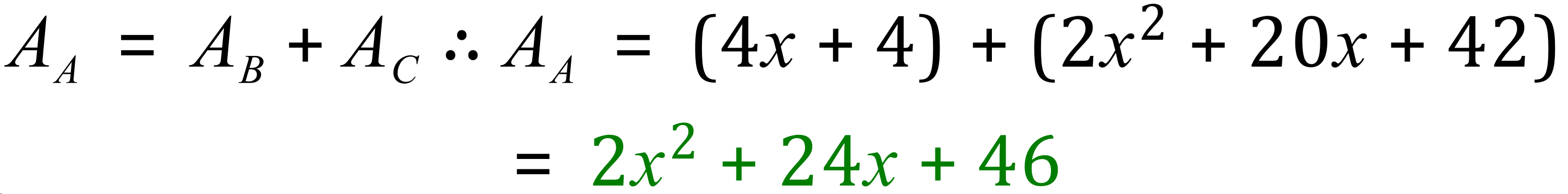
Remember that addition can be performed in algebra, we now add these two results to get the area for the compound shape A:
